정동혁 연세대 의과대학 용인세브란스병원 가정의학과 교수, 박병진 교수, 이성범 교수팀이 초기 만성콩팥병과 지방간이 동반되는 경우 허혈성 심장질환 발병 위험이 대폭 높아짐을 밝혔다.만성적으로 신장 기능이 저하되는 ‘만성콩팥병’과 간의 지방함량이 5%를 초과하는 ‘지방간’은 유병률이 각각 13.4%, 25%에 달하는 대표적인 현대인의 질병이다.
만성콩팥병과 지방간은 고혈압, 고지혈증, 당뇨 등의 위험인자를 공유하기에 함께 발병하기 쉽다. 그러나, 기존까지의 연구는 주로 말기신부전을 대상으로 해 만성콩팥병 초기 단계인 초기 만성콩팥병과 지방간을 동시에 지닌 경우에 대해선 알려진 바가 적었다.정동혁 교수팀은 초기 만성콩팥병과 지방간이 동반된 경우 허혈성 심장질환의 발병 위험을 살펴보고자 연구를 진행했다.
허혈성 심장질환이란 심장에 혈액을 공급해 주는 관상동맥이 동맥경화 혹은 석회화로 협착돼 심장에 공급되는 혈액이 부족해져 발생하는 질환이다. 답답함, 흉통, 실신 등의 증상을 일으킬 수 있으며 심한 경우 심근경색으로 발전돼 사망에 이를 수도 있다.
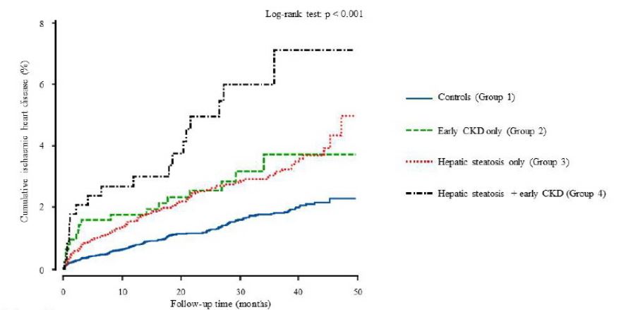
교수팀은 2006년부터 2010년까지의 건강보험심사평가원 자료를 기반으로 20세 이상 성인 1만6,531명을 정상군, 초기 만성콩팥병만 있는 군, 지방간만 있는 군, 초기 만성콩팥병과 지방간 모두 있는 군으로 나누어 평균 50개월 동안 추적 관찰을 실시했다.
분석 결과 초기 만성콩팥병과 지방간이 모두 있는 군은 정상군 대비 허혈성 심장질환의 발병 위험이 76% 더 높은 것으로 나타났다. 또한, 허혈성 심장질환 발병률을 누적하여 분석한 결과에서도 초기 만성콩팥병과 지방간이 동반된 군은 추적 관찰 기간 내내 허혈성 심장질환 발병 위험이 다른 군보다 높은 것으로 나타났다.
이번 연구는 말기신부전뿐 아니라 초기 만성콩팥병도 지방간과 동반된다면 허혈성 심장질환 발병 위험을 대폭 높일 수 있음을 확인했다는 점에서 큰 의의를 지닌다. 특히, 만성콩팥병과 지방간은 비교적 흔한 질환이면서도 동시에 발병할 가능성이 높아 건강 관리 측면에서 시사하는 바가 크다.
정동혁 교수는 “만성콩팥병과 지방간 모두 조기 발견에 어려움이 있으므로 증상이 없더라도 저염식, 운동, 금연 그리고 적절한 수분 섭취를 통해 일상 속에서 관리하는 것이 필요하다”며 “이와 더불어 건강검진을 통해 단백뇨 및 신장 수치 확인과 간 초음파 검사를 정기적으로 받는다면 관련 질환들을 효과적으로 예방할 수 있다”고 전했다.
한편, 정동혁 교수는 일상 속에서 느낄 수 있는 만성콩팥병의 주요 증상으로 거품이 많이 발생하는 단백뇨, 소변량 감소, 붓기, 체중 증가, 혈압 상승, 요독증, 피로감, 가려움증을 들었다. 또한, 지방간은 대부분 증상이 없지만 간경화로 진행된 경우 복통, 구역, 식욕감퇴, 활달, 부종 등이 나타날 수 있으며 이러한 증상들이 느껴질 경우 의료기관에 방문해 전문적인 진료를 받아볼 것을 권한다고 밝혔다.
초기 만성콩팥병과 지방간이 함께 있는 군(Group 4)은 정상군(Group 1)을 포함한 다른 군보다 허혈성 심장질환 누적발생률이 추적 관찰 기간(50개월) 내내 유의미하게 높은 것으로 나타났다.(용인세브란스병원 제공)